Nutr Bras. 2025;24(1):1350–1366
doi:10.62827/nb.v24i1.3057

REVISÃO

Modulação intestinal na síndrome do intestino irritável: uma revisão narrativa

Intestinal modulation in irritable bowel syndrome: a narrative review

Bianca Freire Cavalcanti1, Evellyn Câmara Grilo2, Lúcia Leite Lais1

1Universidade Federal do Rio Grande do Norte (UFRN), Natal, RN, Brasil

2Universidade Potiguar (UnP), Natal, RN, Brasil

Recebido em: 4 de abril de 2025; Aceito em: 29 de abril de 2025.

Correspondência: Evellyn Câmara Grilo, evellyn-cg@hotmail.com

Como citar

Cavalcanti BF, Grilo EC, Lais LL. Modulação intestinal na síndrome do intestino irritável: uma revisão narrativa. Nutr Bras. 2025;24(1):1350–1366.doi:10.62827/nb.v24i1.3057

Resumo

Introdução: A Síndrome do Intestino Irritável (SII) é um distúrbio da interação intestino-cérebro. A microbiota intestinal na SII é considerada um fator central na fisiopatologia e sua modulação mediante probióticos, prebióticos ou simbióticos tem sido um potencial aliado na diminuição dos sintomas. Objetivo: Sumarizou-se evidências de ensaios clínicos em humanos sobre o efeito da suplementação de probióticos, prebióticos e simbióticos na modulação da microbiota intestinal e no manejo de sintomas gastrointestinais em pessoas com SII. Métodos: Trata-se de uma revisão narrativa de ensaios clínicos randomizados baseada em artigos publicados entre 2021 e 2023 e indexadas nas bases de dados PubMed/MEDLINE, mantidas pela National Library of Medicine (NLM). Resultados: Os estudos encontrados demonstraram melhorias na sintomatologia da SII após intervenções com probióticos e simbióticos, incluindo dor abdominal, hábitos de evacuação, qualidade de vida, e sintomas globais. Apenas um estudo pontuou modificações na microbiota intestinal após suplementação com cepas de Bifidobacterium infantis, Lactobacillus acidophilus, Enterococcus faecalis e Bacillus cereus. Os probióticos considerados como opções para tratamento da SII com predominância de diarreia, incluem o uso de probióticos isolados de Bifidobacterium e uma combinação multicepas. Saccharomyces cerevisiae também apresentou benefícios para outras classificações, principalmente para SII com predominância de constipação intestinal. Os prebióticos podem promover melhorias na consistência fecal e sintomas de dor. Os simbióticos foram considerados uma opção de tratamento dos sintomas da SII com predominância de diarreia e constipação intestinal. Conclusão: As intervenções com probióticos e simbióticos promovem melhoria dos sintomas e hábito intestinal referente a SII com predominância de diarreia ou constipação intestinal.

Palavras-chave: Síndrome do Intestino Irritável; Microbioma Gastrointestinal; Prebióticos; Probióticos; Sintomatologia.

Abstract

Introduction: Irritable Bowel Syndrome (IBS) is a disorder of the gut-brain interaction. The intestinal microbiota in IBS is considered a central factor in the pathophysiology and its modulation through probiotics, prebiotics or synbiotics has been a potential ally in reducing symptoms. Objective: To summarize evidence from human clinical trials on the effects of probiotic, prebiotic and synbiotic supplementation in modulating the gut microbiota and managing gastrointestinal symptoms in individuals with IBS. Methods: This is a narrative review of randomized clinical trials based on articles published between 2021 and 2023 and indexed in PubMed/MEDLINE databases, maintained by the National Library of Medicine (NLM). Results: The studies demonstrated improvements in the IBS symptoms after interventions with probiotics and synbiotics, including abdominal pain, bowel habits, quality of life, and global symptoms. Only one study highlighted changes in the intestinal microbiota after supplementation with Bifidobacterium infantis, Lactobacillus acidophilus, Enterococcus faecalis and Bacillus cereus strains. Probiotics considered as treatment options for diarrhea-predominant IBS, include the use of isolated probiotics of Bifidobacterium and a multi-strain combination. Saccharomyces cerevisiae also showed benefits for other classifications, mainly for IBS with a predominance of constipation. Prebiotics may promote improvements in stool consistency and pain symptoms. Synbiotics were considered an option for treating IBS symptoms for diarrhea- and constipation-predominant bowel movements. Conclusion: Interventions with probiotics and synbiotics promote improvement in symptoms and intestinal habits related to IBS with a predominance of diarrhea or constipation.

Keywords: Irritable Bowel Syndrome; Gastrointestinal Microbiome; Prebiotics; Probiotics; Symptomatology.

Introdução

Considerada uma das doenças gastrointestinais mais comuns, a síndrome do intestino irritável (SII) é uma doença funcional crônica definida como um distúrbio da interação intestino-cérebro e caracterizada por dor abdominal recorrente associada a alterações na frequência das evacuações e forma das fezes [1,2].

A prevalência internacional da SII varia consideravelmente entre países devido a diferenças na alimentação, cultura e critérios diagnósticos [1]. Na população em geral, afeta de 5 a 20% dos indivíduos e, estima-se que a prevalência mundial seja 11,2% [2-4]. A prevalência, no entanto, pode variar também dependendo do critério Roma utilizado para diagnóstico, podendo ser de 4,1%, seguindo o critério Roma IV, ou de 10,1%, seguindo o critério Roma III [2]. Sua ocorrência é mais comum em pessoas jovens, do sexo feminino e incomum entre pessoas idosas [5].

A classificação existente para a SII se concentra na alteração predominante nos hábitos intestinais, podendo classificar os indivíduos em: SII com predominância de diarreia (SII-D), SII com predominância de constipação intestinal (SII-C), SII com hábitos intestinais mistos (SII-M) ou SII não classificada (SII-U). A SII-D é responsável por cerca de um terço de todos os casos de SII e é considerada a mais grave [2,3,6,7].

Sua fisiopatologia, embora não totalmente compreendida, é multifatorial e abrange um amplo espectro de disfunções, incluindo: distúrbios de motilidade, sensibilidade visceral, distúrbios psicossociais, inflamação de baixo grau, alterações das funções imunológicas da mucosa intestinal, aumento da permeabilidade intestinal, função intestino-cérebro alterada, distúrbios na composição da microbiota intestinal (disbiose), e/ou alteração da ativação de neurônios sensoriais e do processamento do sistema nervoso central [2,6,8].

As manifestações sintomáticas mais comuns são: distensão abdominal, dor, diarreia, obstipação, alteração do hábito intestinal, além da comorbidade psicológica frequentemente acompanhada por condições coexistentes como estresse, ansiedade e depressão. Tais sintomas estão relacionados a profundas reduções na qualidade de vida em comparação com a população em geral [6].

A SII está associada a uma morbidade significativa para o paciente, diminuindo a sua produtividade em atividades diárias, e possui impacto econômico e social, acarretando custos consideráveis para os sistemas de saúde e para a sociedade, devido à necessidade de assistência para tais pacientes [8].

A microbiota intestinal é considerada um fator central na fisiopatologia da SII. Evidências mostram diferenças na composição da microbiota intestinal entre indivíduos com SII e controles saudáveis [9,10]. Além disso, a composição da microbiota intestinal na SII também pode diferir entre os subgrupos de SII. Essa diferença tem impulsionado um crescente número de investigações e é considerada um fator central na sua fisiopatologia [6,8] Por isso, a modulação intestinal tem sido uma estratégia no controle da sintomatologia da SII. Ela pode ocorrer de várias formas, especialmente mediante intervenções com prebióticos, probióticos ou simbióticos [10,11]

Sumarizou-se as evidências de ensaios clínicos em humanos sobre o efeito da suplementação de probióticos, prebióticos e simbióticos na modulação da microbiota intestinal e no manejo de sintomas gastrointestinais em pessoas com SII.

Métodos

Tipo de estudo

Revisão narrativa da literatura com ensaios clínicos incluindo pacientes com SII que realizaram suplementação com prebióticos e/ou probióticos visando o manejo de sintomas clínicos e/ou modulação da microbiota intestinal.

Estratégia de busca

Esta revisão foi baseada em artigos publicados no período de 2021 a 2023 e indexados no PubMed/MEDLINE. Os termos de busca foram definidos conforme os seguintes Medical Subject Headings (MeSH): Irritable Bowel Syndrome, Probiotics/therapeutic use e Prebiotics/administration and dosage. Os operadores booleanos “AND” e “OR” foram usados para construção da equação de busca. O período de busca ocorreu em janeiro de 2024. Nenhuma restrição de idioma foi aplicada.

Critérios de seleção

Incluiu-se somente ensaios clínicos randomizados em indivíduos com SII. Foram excluídos estudos não randomizados, aqueles em que os termos “probióticos” e/ou “prebióticos” não foram abordados no título e resumo, assim como outros tipos de estudos (estudos de caso, estudos observacionais, revisões de literatura, estudos em animais, estudos in vitro). Além disso, foram excluídos estudos realizados com outras condições clínicas, com intervenção medicamentosa e aqueles sem acesso ao texto completo. Os artigos identificados foram triados, inicialmente, por título e resumo e depois mediante a leitura na íntegra. O processo de seleção dos artigos se baseou no PRISMA flowchart [12]. A pesquisa foi feita de forma independente por dois pesquisadores. Um terceiro pesquisador foi consultado em caso de divergência no processo de triagem.

Extração de dados

Os artigos incluídos foram catalogados em planilha do Microsoft Excel® na forma de banco de dados, considerando os seguintes tópicos: base de dados, equação de busca, nome da revista, ano de publicação, autores, idioma, título, tipo de estudo, objetivos do estudo, intervenção e aspectos abordados [aspectos gerais, SII-D (SII com predominância de diarreia), aspectos nutricionais, microbiota intestinal, probióticos/prebióticos, terapia nutricional], resultados, principal conclusão, outras observações, limitações do estudo, referência e URL.

Sumarização dos Resultados

Os resultados foram sumarizados em tabela, incluindo informações dos estudos organizados conforme o tipo de intervenção (uso de probióticos de Bifidobacterium, probióticos de Saccharomyces cerevisiae, probióticos multicepas ou combinação simbiótica). A discussão dos resultados foi organizada de forma a contemplar probióticos para SII-D, probióticos para SII-C, prebióticos e simbióticos.

Resultados

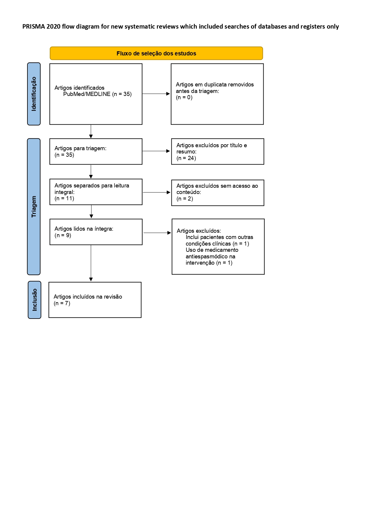
A pesquisa inicial no PubMed/MEDLINE identificou 35 artigos. Como nenhuma duplicata foi identificada, todos esses artigos foram triados pelos títulos e resumos. Destes, 24 foram excluídos. Os 11 artigos remanescentes foram avaliados mediante leitura completa. Destes, 2 artigos foram excluídos por falta de acesso ao texto completo e 2 por não atingirem os critérios de eligibilidade. Ao final, 7 artigos foram incluídos nesta revisão (Figura 1). As características dos estudos incluídos estão descritas na Tabela 1.

Figura 1 – Fluxograma PRISMA do processo de seleção dos artigos.

Tabela 1 - Características e principais resultados dos estudos incluídos na revisão.

Autor (ano) País

[Referência]

População

Intervenção / Comparador

Principais resultados

Probióticos - Bifidobacterium

ZHAO et al. (2023)

China

[4]

N = 217 (fase 1) e 167 (fase 2), ambos os sexos, 18 a 65 anos, SII-D

Fase 1:

Participantes divididos em 4 grupos: (I) dieta controle (sem restrição dietética), (II) dieta FFP res, (III) dieta IgG res e (IV) dieta FFP res + dieta IgG res, durante 12 semanas

Fase 2:

Participantes divididos em 2 grupos: (I) dieta IgG res + placebo e (II) dieta IgG res + probiótico Dieta IgG res + Probiótico em cápsula (via oral) com Bifidobacterium adolescentis (0,5 x 10^9 UFC). Tanto o placebo como o probiótico foram administrados 2x/dia, durante 12 semanas.

Tanto a dieta FFP res quanto a dieta IgG res melhoraram os sintomas da SII e demonstraram sinergia, mas a dieta IgG res teve uma contribuição maior. Quando alimentos intolerantes não podem ser eliminados de uma dieta, evitar alimentos crus, fritos, frios e picantes e alcoólicos é uma boa escolha. A dieta IgG res combinada com Bifidobacterium adolescentis foi a melhor intervenção e pode funcionar por meio de uma via não IgG.

A dieta IgG res combinada com Bifidobacterium foi a melhor escolha para melhora dos sintomas em pacientes SII-D. Na Fase 2, a diminuição da escala de severidade dos sintomas IBS-D-SSS foi significativamente diferente para a dieta IgG res + placebo e dieta IgG res + probiótico (p<0,001). Não foram pontuadas modificações na composição da microbiota

Probióticos - Saccharomyces cerevisiae

MOUREY et al. (2022)

França

[8]

N = 456, ambos os sexos, 18 a 75 anos, SII-C

Probiótico em cápsula (via oral) contendo S. cerevisae I-3856 (8 x 10^9 UFC), 2 cápsulas 1x/dia, durante 8 semanas / Placebo (amido de milho e estearato de magnésio)

O grupo probiótico obteve melhor resposta de melhora de dor abdominal (45,1% vs. 33,9%, P = 0,017). O escore geral de qualidade de vida foi significativamente maior em relação ao placebo [P = 0,047, IC 95%: 3,86 (0,52; 7,20)]. A distensão abdominal mostrou uma diminuição estatisticamente significativa em ambos os grupos, correspondendo a uma redução da pontuação de 28,4% no grupo probiótico (IC 95%: 23,9-33,0) e 24,5% no grupo placebo (IC 95%: 19,7-29,5). A frequência de evacuação e os escores da escala de Bristol aumentaram nos grupos probiótico e placebo, sem diferenças estatisticamente significativas. Não foram pontuadas modificações na composição da microbiota

Probióticos multicepas

BAI et al. (2023)

China

[3]

N = 290, ambos os sexos, 18 a 65 anos, SII-D

Probiótico em comprimido (via oral) quádruplo viável contendo Bifidobacterium infantis, Lactobacillus acidophilus, Enterococcus faecalis (0,5 x 10^6 UFC), e Bacillus cereus GMCC 0460.4 (0,5 x 10^5 UFC), 3x/dia, durante 4 semanas / Placebo (celulose microcristalina, sacarose, lactose e estearato de magnésio)

No grupo probiótico, houve melhor taxa de resposta 67,59% e 36,55% no grupo placebo com melhora da dor abdominal, diminuição dos níveis de diarreia e melhora na abundância de bactérias benéficas (Butyricimonas, Pseudobutyrivibrio, Barnesiella e Sutterella) e ácidos graxos de cadeia curta em relação ao placebo. O efeito remissivo durou até duas semanas após a retirada do probiótico

MACK et al. (2022)

Alemanha

[7]

N = 389, ambos os sexos, maior ou igual a 18 anos, SII-D, SII-C, SII-M e SII-U

Probiótico em gotas (via oral) contendo Escherichia coli (DSM 17252; 1,5–4,5 x10^7 UFC) e Enterococcus faecalis (DSM 16440; 1,5–4,5 x 10^7 UFC) [3x/dia; semana 1: 3 x 10 gotas (0,71 ml); semana 2: 3 x 20 gotas (1,42 ml); semana 3 a 26: 3 x 30 gotas (2,14 ml)] durante 26 semanas / Placebo

A resposta foi semelhante para os grupos probióticos e placebo quanto à avaliação global (IBS-GAI; 17.4% e 14.4%, respectivamente; p = 0,47) e dor abdominal (42.0% e 35.4%, respectivamente; p = 0,14). O probiótico demonstrou efeitos promissores na dor abdominal e consistência das fezes para o subtipo SII-D. Não foram pontuadas modificações na composição da microbiota

SKRZYDŁO-RADOMAŃSKA et al. (2021)

Polônia

[2]

N = 51, ambos os sexos, 18 a 70 anos, SII-D

Probiótico em cápsula (via oral) contendo Bifidobacterium breve, Bifidobacterium longum, Bifidobacterium bifidum, Bifidobacterium lactis, Lactobacillus rhamnosus, Lactobacillus paracasei, Lactobacillus acidophilus, Lactobacillus casei, Lactobacillus plantarum e Streptococcus thermophilus (2,5 x 10^9 UFC), 2x/dia, durante 8 semanas / Placebo (maltodextrina)

No grupo probiótico, houve melhora na gravidade dos sintomas em relação ao controle (p = 0,005), melhora dos escores relacionados à dor (p = 0,015), da qualidade de vida (p = 0,016) e dos sintomas globais em relação ao grupo controle após 4 (p = 0,04) e 8 semanas (p = 0,003) de intervenção. A consistência das fezes, número de evacuações por dia, intensidade da dor, flatulência, urgência fecal e sensação de evacuação incompleta obtiveram melhora com relação ao grupo placebo, no entanto, sem diferenças estatísticas entre os grupos do estudo. Não foram pontuadas modificações na composição da microbiota

ANKERSEN et al. (2021)

Dinamarca

[6]

N = 34, ambos os sexos, maior ou igual a 18 anos, SII-D ou SII-M N = 6, ambos os sexos, maiores de 18 anos, sem SII (controle)

Probiótico VSL#3 em sachê (via oral) contendo 1 cepa de Streptococcus, 3 cepas de Bifidobacterium e 4 cepas de Lactobacillus (4,5 x 10^11 de UFC por dia) (2x/dia) durante 4 semanas ou dieta LFD / Indivíduos controle

Houve considerável remissão dos sintomas (IBS-SSS < 175) para 8 de 12 (67%) respondedores de LFD e 5 de 7 (71%) respondedores tratamentos múltiplos do probiótico. Os respondedores de LFD e probióticos mostraram uma tendência de normalizar a aparência das fezes para o tipo 4. Ambos os tratamentos demonstraram igual eficácia a curto e longo prazo. Não foram encontradas alterações significativas na microbiota

Simbiótico

Oh et al. (2023)

Coréia do Sul

[5]

N = 67, ambos os sexos, maior ou igual a 60 anos, SII-D, SII-C, SII-M e SII-U

Simbiótico em sachê contendo Lactobacillus paracasei (DKGF1; 1,0 x 10^11) e Opuntia humifusa (0,2 g) (1x/dia) durante 4 semanas / Placebo (maltodextrina)

As taxas de respostas foram maiores no grupo simbiótico (51,5%) em relação ao grupo placebo (23,5%) (p=0,017). Não houve diferenças significativas nos sintomas de gases e distensão abdominal (p=0,88 e p=0,88, respectivamente). Houve melhora na dor abdominal e defecação em indivíduos SII-D e SII-C (placebo: 22,2%; simbiótico: 85,7%, p=0,04) e melhora no bem-estar psicológico no grupo simbiótico em geral (de 3,0 para 1,0) em comparação ao grupo placebo (de 3,0 para 2,0) (p=0,005). Não foram pontuadas modificações na composição da microbiota

Fonte: Elaborado pelo autor (2024). DKGF1: cepa específica da bactéria Lactobacillus paracasei. DSM: coleção alemã de micro-organismos (deutsche sammlung von mikroorganismen). FFP res: dieta com restrição de alimentos fritos, frios e picantes. FODMAP: oligossacarídeos, dissacarídeos, monossacarídeos e polióis fermentáveis. IgG res: dieta com restrição de alimentos que aumentam a produção de imunoglobulina G (IgG). GMCC: coleção geral de cultura de microbiologia (general microbiology culture collection). IBS-D-SSS: escala de gravidade dos sintomas para síndrome do intestino irritável com predominância de diarreia (Symptom Severity Scale). IBS-GAI: avaliação global de melhora (improvement global assessment). IBS-SSS: escala de gravidade dos sintomas da síndrome do intestino irritável (symptom severity scale). IC: intervalo de confiança. IgG: imunoglobulina G. LFD: dieta com restrição de alimentos ricos em FODMAPs. N: número de participantes. P: valor de p (significância estatística). SII-C: síndrome do intestino irritável com predominância de constipação intestinal. SII-D: síndrome do intestino irritável com predominância de diarreia. SII-M: síndrome do intestino irritável com hábitos intestinais mistos. SII-U: síndrome do intestino irritável não classificada. UFC: unidade formadora de colônias. VSL#3: formulação probiótica multicepas comercializada pela empresa italiana Actial Farmaceutica Srl.

Discussão

Dentre os 7 ensaios clínicos incluídos na revisão, a maioria (N=6) envolveu intervenções com probióticos [2-4, 6-8]. Apenas um estudo fez intervenção com simbiótico [5]. Os probióticos foram usados isoladamente ou na forma de multicepas, com destaque para os gêneros Bifidobacterium e Lactobacillus. Nenhum estudo investigou o uso isolado de prebiótico como intervenção.

De forma geral, os benefícios encontrados abrangeram melhora dos sintomas (principalmente dor abdominal e diarreia) e melhora da qualidade de vida [2-4, 6-8]. Um estudo detectou melhora na abundância de bactérias benéficas e de ácidos graxos de cadeia curta (AGCC) [3]. No entanto, outros estudos não pontuaram modificações na composição da microbiota intestinal [2,4,7,8] ou não encontraram alterações significativas na sua composição após intervenção [6]. De forma interessante, no estudo que suplementou simbióticos, não houve diferenças significativas nos sintomas de gases e distensão abdominal [5].

Os probióticos, de acordo com a International Scientific Association for Probiotics and Prebiotics (ISAPP), podem ser definidos como “microrganismos vivos que, quando administrados em quantidades adequadas, conferem benefícios à saúde do hospedeiro”. São considerados suplementos nutricionais, mas também podem ser aprovados como medicamento se a sua eficácia for verificada em ensaios de medicamentos estritamente regulamentados, de acordo com as regras das autoridades de aprovação (Food and Drug Administration, FDA; European Medicines Agency, EMA) [4,5,7].

Embora sejam aplicados diversos ensaios clínicos randomizados em torno do tratamento da SII, a eficácia de probióticos para esse fim ainda permanece inconclusiva. Muitas cepas podem gerar efeitos diferentes em pacientes do mesmo subgrupo, visto que há heterogeneidade na própria população de pacientes com SII. Portanto, não está claro se há combinações de probióticos melhores que outras ou se existem subtipos específicos de SII que respondem melhor aos probióticos e qual combinação deveria ser prescrita [3,4,7].

Probióticos para SII-D

Muitas preparações probióticas usadas para controlar os sintomas da SII contêm Bifidobactérias, o que sugere a utilidade potencial das Bifidobactérias para o tratamento de pacientes com SII. O estudo de Zhao et al. (2023) [4] teve como objetivo entender os efeitos de restrições dietéticas e uso de probióticos em pacientes SII-D a partir de uma avaliação da diminuição na escala de severidade dos sintomas específica para SII-D (IBS-D-SSS) e diminuição da titulação total de anticorpos IgG positivos (TIgG) em comparação com a linha de base. Para isso, na primeira parte do estudo, realizou a comparação entre dois tipos de dieta e na segunda parte, comparou uma das dietas com o probiótico. Esses autores demonstraram que uma dieta restrita em IgG (IgG res) combinada com o uso de um probiótico de Bifidobacterium foi mais favorável do que apenas a restrição dietética. Portanto, embora as duas dietas aplicadas tenham apresentado alívio dos sintomas para a SII-D, a dieta IgG res combinada com Bifidobacterium foi considerada a melhor escolha, com diminuições significativas na pontuação de sintomas [4].

No estudo de Srivastava et al. (2024) [13], foi feito o uso de Bifidobacterium longum CECT 7347 (ES1) e Bifidobacterium longum CECT 7347 (HT-ES1), sendo o último um pós-biótico tratado termicamente. Essa intervenção ocasionou diminuição na intensidade da dor abdominal (IBS-SSS), escores de ansiedade, consistência das fezes e qualidade de vida (IBS-QoL) em pacientes SII-D, em comparação ao placebo.

A revisão de Wu et al. (2024) [10] demonstrou que diferentes ensaios clínicos randomizados que compararam Bifidobacterium com placebo apresentaram melhorias significativas nos sintomas gerais, na dor abdominal (em maior extensão comparado com cepas de Lactobacillus, Saccharomyces e Clostridium) e na qualidade de vida. Por outro lado, nenhuma diferença significativa foi observada para o sintoma de distensão abdominal. No entanto, embora Bifidobacterium possa conferir benefícios, não há efeitos significativos específicos desta cepa para pontuações de sintomas globais de SII e dor abdominal [14].

Com isso, pode-se inferir que o uso de Bifidobacterium, traz benefícios a indivíduos com SII-D, principalmente no que diz respeito a dor abdominal, melhora da ansiedade, consistência das fezes e qualidade de vida, mas sem efeitos estatisticamente significativos no sintoma de distensão abdominal.

A revisão de Wu et al. (2024) [10] destaca que as combinações de múltiplas cepas probióticas conferem benefícios superiores quando em comparação com cepas administradas isoladamente. Também demonstrou que combinações de probióticos demonstram efeitos benéficos nos sintomas gerais da SII e na qualidade de vida. De 8 estudos, 6 deles apresentaram alívio significativo na dor abdominal com o uso de probióticos multicepas.

Em indivíduos SII-D, a suplementação com probióticos multicepas apresentam resultados positivos na dor abdominal, diminuição da diarreia e alterações benéficas na microbiota com produção de AGCC, a partir da combinação de cepas de Bifidobacterium, Lactobacillus e Enterococcus e Bacillus cereus [3]. A avaliação global, dor abdominal e consistência das fezes também apresentam melhoras com a combinação de Enterococcus faecalis e Escherichia coli, a qual pode gerar benefícios em um período de 6 meses de uso [7]. Melhorias significativas na dor abdominal, qualidade de vida e sintomas globais também são evidenciados pela combinação de cepas de Bifidobacterium, Lactobacillus e Streptococcus e, para combinações desses mesmos gêneros, pode haver melhora nos sintomas e consistência das fezes na SII-D ou SII-M [2,6].

O ensaio clínico randomizado de Bai et al. (2023) [3] buscou avaliar a eficácia a curto prazo do probiótico em pacientes com SII-D, explorar fatores associados a resposta aos probióticos e seus efeitos na microbiota fecal e metabólitos. O estudo buscou avaliar, após a intervenção, melhora da dor abdominal (avaliada por escala numérica de 0 a 10, da menor dor à pior) e diarreia (avaliada pela escala de Bristol) simultaneamente. Os pacientes realizaram registro de sintomas em um diário. Esses autores observaram que indivíduos SII-D apresentaram retorno de evacuações frequentes e distensão abdominal logo após retirar os probióticos. Dessa forma, não se sabe se os efeitos obtidos se manteriam a longo prazo (cerca de 3 meses), após a retirada do tratamento, o que leva à necessidade de desenvolver mais estudos voltados para os efeitos dessa cepa ao longo do tempo. O probiótico em questão também não conseguiu aliviar a urgência de defecação, qualidade de vida, ansiedade e depressão. Portanto, a suplementação demonstrou eficácia significativa a curto prazo para pacientes SII-D com dor abdominal com pontuação mais alta.

O estudo de Mack et al. (2022) [7] buscou avaliar a eficácia de um probiótico oral, lisado bacteriano (LB), no tratamento da SII em comparação com placebo na frequência e gravidade dos sintomas. A avaliação incluiu: melhora na avaliação global (questionário IBS-GAI respondido semanalmente) e na dor abdominal (escala de 11 pontos; 0 = nenhuma dor; 10 = pior dor possível) avaliado por meio de um diário de sintomas e fezes, incluindo a classificação da consistência das fezes de acordo com a escala de Bristol. Nesse estudo, os autores demonstraram que a eficácia dos probióticos, em geral, depende de cada subtipo de SII e a combinação utilizada deve ser específica para SII-D. Foi constatado no estudo que a combinação pode ser benéfica em um período de uso de 6 meses, o que, porém, é necessário realizar um ensaio clínico com potência adequada para verificar essa hipótese [7]. Ainda nesse estudo, os autores pontuaram como limitações a falta de conhecimento sobre a classificação em subtipos da SII; falta de conhecimento sobre as diferentes respostas ao tratamento probiótico apresentadas pelos diferentes subtipos; grupo SII-C sub-representado e frequentemente tratado convencionalmente como obstipação, com dor abdominal secundária. Para as cepas em questão, no entanto, não foram realizados muitos estudos para que sua eficácia seja, de fato, comprovada [7].

O estudo conduzido por Skrzydło-Radomańska et al. (2021) [2] buscou avaliar um probiótico quanto à sua eficácia e segurança em adultos com SII-D. Como desfechos primários estavam a avaliação da gravidade e melhoria dos sintomas da SII utilizando o IBS-SSS e uma avaliação da melhoria ou exacerbação dos sintomas globais, usando a Global Improvement Scale (IBS-GIS). Como desfechos secundários, estavam a consistência das fezes (escala de Bristol), número de evacuações por dia, intensidade da dor, flatulência, urgência fecal e sensação de evacuação incompleta. Nesse estudo, a intervenção com multicepas de probióticos mostrou tendência à melhora de desfechos secundários, como consistência das fezes, número de evacuações por dia, intensidade da dor, flatulência, urgência fecal e sensação de evacuação incompleta. Entretanto, não houve significância estatística. Além disso, o estudo constatou que a eficácia dos probióticos na SII depende da sua composição, dose e duração da administração. Doses muito elevadas (50 bilhões de UFC/dia) podem levar a desconfortos gastrointestinais causados pela produção de gases. Se o tempo de administração foi muito curto (ex. 2 semanas), pode não ser suficiente para haver melhorias. Esse fato mostra a necessidade de uso de probióticos por mais de 4 semanas [2].

Ankersen et al. (2021) [6] observaram efeitos dietéticos no tratamento da SII, com o objetivo de avaliar se a dieta LFD (dieta restrita em alimentos com alto teor de FODMAPs) e tratamento probiótico eram igualmente bons na redução dos sintomas da SII e se a resposta aos tratamentos poderia ser explicada pela microbiota. Os pacientes com SII foram randomizados no grupo probiótico ou dieta LFD. O estudo buscou avaliar, principalmente, uma redução dos sintomas da SII e a microbiota fecal. Como desfechos secundários, buscou avaliar a qualidade de vida dos pacientes, o efeito de múltiplos tratamentos com VSL#3 na manutenção do controle dos sintomas ao longo de 1 ano e a reintrodução de FODMAPs entre os respondedores de LFD, bem como avaliar o aplicativo da web IBS Constant Care (IBS CC). Nesse estudo, os autores observaram melhora dos sintomas e da consistência das fezes dos participantes tanto ao utilizar a dieta LFD, como o probiótico VSL#3. Quanto à qualidade de vida, não foram encontradas mudanças significativas entre os respondedores de LFD e probióticos e os não respondedores, nem com relação a alterações nos movimentos intestinais por dia com base no tipo de resposta [6].

Segundo a revisão de Wu et al. (2024) [10], dois ensaios não apresentaram benefícios significativos utilizando a combinações dos gêneros Bifidobacterium e Lactobacillus com Streptococcus. A maioria dos estudos não pontuou melhorias na distensão abdominal, exceto por um estudo que utilizou a combinação de Lactobacillus com Bifidobacterium, Propionibacterium freudenreichii e Propionibacterium shermanii, e outro que utilizou uma combinação de Bifidobacterium e Lactobacillus [10]. A combinação incluindo cepas de Lactobacillus e Bifidobacterium demonstram melhorias na gravidade da SII e qualidade de vida [15].

Com isso, pode-se concluir que, para SII-D, os probióticos com combinações multicepas demonstram ser efetivos para manejo de sintomas e qualidade de vida, especialmente quando incluem Bifidobacterium e Lactobacillus.

Probióticos para SII-C

Saccharomyces. cerevisiae (S. cerevisiae) CNCM I-3856 é uma cepa de levedura que fornece benefícios estatisticamente significativos e clinicamente relevantes para indivíduos com SII. Através dessa suplementação, há melhora dos sintomas gastrointestinais em todas as subpopulações de SII, sendo os efeitos positivos mais fortes em indivíduos SII-C [8].

O estudo de Mourey et al. (2022) [8] propôs um automonitoramento diário dos sintomas gastrointestinais dos participantes. O estudo objetivou observar efeitos na dor abdominal (objetivo primário; avaliado por escala Likert); outros sintomas gastrointestinais, frequência e consistência da evacuação (avaliada pela escala de Bristol) e qualidade de vida (questionário IBS-QoL; Quality of Life). Nesse estudo, os autores verificaram que para a SII-C, a cepa S. cerevisiae CNCM I-3856 apresentou segurança e eficácia para o tratamento da dor abdominal e melhorias na qualidade de vida. Além disso, a cepa também é capaz de melhorar significativamente a distensão abdominal durante o segundo mês de suplementação em indivíduos nessa classificação [16]. Em pacientes de diferentes classificações de SII, de forma semelhante, o uso da cepa Saccharomyces cerevisiae (2 cápsulas/dia durante 4 semanas) apresentou diminuição da dor e melhora da qualidade de vida dos participantes, a partir de um estudo observacional prospectivo [17].

A cepa S. cerevisiae I-3856 pode apresentar melhorias nos sintomas gerais em comparação ao placebo. No entanto, no gênero Saccharomyces em geral, melhorias nos sintomas de dor e distensão abdominal não foram significativas no estudo de Wu et al. (2024) [10] em que, dentre 3 estudos, 1 utilizou a cepa Saccharomyces boulardii.

A partir de tais estudos, pode-se observar que o subtipo SII-C aparenta ser o subtipo mais beneficiado com a cepa a partir de melhorias nos sintomas de dor e distensão abdominais e qualidade de vida. Embora, em outros estudos, não tenha demonstrado melhorias significativas na dor abdominal, isso pode ser dado mediante a variação interpessoal dos participantes, dosagem do probiótico utilizada, duração do tratamento, participação de indivíduos de outros subtipos de SII e o uso de outras cepas do gênero Saccharomyces (ex.: Saccharomyces boulardii).

Como visto, as classificações de SII que apresentaram melhores resultados com o uso de probióticos foram SII-D e SII-C. Embora indivíduos de diferentes classificações de SII tenham apresentado resultados benéficos com o uso de probióticos, para as classificações SII-M e SII-U não foram encontrados probióticos específicos voltados unicamente para tratar essas classes.

Prebióticos

Os prebióticos são ingredientes fermentados seletivamente no intestino grosso que induzem alterações específicas na composição e/ou atividade da microbiota intestinal, beneficiando, assim, a saúde do hospedeiro [5]. Seu papel na SII é complexo e não é bem compreendido, ao passo que alguns tipos de prebióticos podem ser benéficos ou causar efeitos indesejados [14].

A ausência de dados acerca de ensaios clínicos randomizados que envolviam a busca de prebióticos no manejo dos sintomas da SII, sem associação com probióticos, se deveu à ausência de artigos relacionados mediante a equação de busca utilizada e anos de publicação selecionados. A busca de artigos realizada não contemplou estudos que avaliassem o efeito do uso de prebióticos nos sintomas em pacientes com SII. Isso demonstra a necessidade da realização de mais estudos envolvendo esse método de tratamento.

A revisão de Rau et al. (2024) [14] pontuou que prebióticos podem ser benéficos ou não, visto que muitos pacientes com SII são sensíveis a FODMAPs e alguns destes, como GOS (galactooligossacarídeos) e FOS (frutooligossacarídeos), são utilizados para esse tratamento. Para indivíduos SII-C, foi demonstrada uma possível melhoria na consistência das fezes a partir de prebióticos contendo inulina. A inulina também pode melhorar a abundância de bifidobactérias. Para a mesma classificação, o uso de FOS de cadeia curta pode gerar um aumento significativo de bifidobactérias fecais e redução da ansiedade em comparação ao placebo. Já dados não estatisticamente significativos demonstraram que o uso de FOS de cadeia curta pode reduzir a sensibilidade retal. Já o uso de o GOS, a partir de um ensaio clínico randomizado, foi eficaz na redução das pontuações globais de sintomas da SII em doses de 3,5 g/dia e 7 g/dia. O grupo que recebeu a dose mais baixa apresentou menos efeitos colaterais, o que pode demonstrar que doses elevadas podem não ser benéficas para os pacientes [14].

A partir da revisão sistemática de Wu et al. (2024) [10] que analisou 7 ensaios clínicos randomizados, os prebióticos não demonstraram diferenças significativas em comparação ao placebo em relação a melhoria dos sintomas gerais, dor abdominal, distensão abdominal e qualidade de vida na SII. Resultado semelhante relacionado à pontuação de sintomas também foi demonstrado por Rau et al. (2024) [14].

A partir de tais constatações, pode-se inferir que, mesmo não havendo diferenças significativas quando comparado ao placebo, os prebióticos podem ser benéficos em certo nível a depender da sensibilidade do paciente à fibra utilizada e do seu hábito intestinal predominante. Pacientes com SII-C demonstram melhorias nos parâmetros de fezes e em sintomas de dor, sendo a inulina e FOS as opções que mais trouxeram benefícios, melhorando, inclusive a abundância de bactérias benéficas, como as bifidobactérias. Quanto ao GOS, é necessário avaliar qual seria a dosagem mais segura a fim de que ofereça melhora nos sintomas globais, mas que, ao mesmo tempo, gere o mínimo de efeitos colaterais.

Simbióticos

Os simbióticos, por sua vez, são formulações que contêm tanto probióticos como prebióticos, com benefícios relatados para a saúde [5]. Oh et al. (2023) [5] realizaram um estudo utilizando Lactobacillus paracasei (L. paracasei) – apresenta efeito antioxidante, resistência ao calor e adesão intestinal e Opuntia humifusa (O. humifusa) – fonte de fibras e antioxidantes. Esses autores buscaram avaliar a melhora da taxa de resposta global e melhoria das taxas de respostas das dores abdominais no fim da 4ª semana de intervenção. Para isso, foram avaliados a avaliação global, escala visual análoga e escala de Bristol.

Na formulação em questão, pôde-se constatar um efeito eficaz no alívio dos sintomas de pacientes idosos com SII-D, como também SII-C, na dor abdominal, defecação e bem-estar psicológico. No entanto, nessa faixa etária, os simbióticos oferecem maiores benefícios em comparação às outras, e não pôde ser visto a partir do estudo o seu efeito nas demais faixas etárias. Com isso, os resultados indicam que o suplemento simbiótico pode potencialmente aliviar os sintomas abdominais em pacientes idosos com SII [5].

Um ensaio clínico randomizado, controlado por placebo, demonstrou a eficácia nos sintomas globais, na pontuação de dor, escores relacionados à flatulência e hábito intestinal a partir de um simbiótico contendo cepas de Lactobacillus e Bifidobacterium juntamente com FOS em pacientes com faixa etária de 18 a 60 anos, com SII-D, por oito semanas [18]. A partir disso, é demonstrado que os simbióticos também se mostram eficazes não somente para idosos, mas também para adultos SII-D, auxiliando nos sintomas globais, dor, flatulência e hábito intestinal.

A revisão de Rau et al. (2024) [14] pontua que, o uso de simbióticos em muitos estudos melhora significativamente pelo menos 1 marcador da SII, como distensão abdominal, dor e níveis de AGCC. No entanto, são necessários mais estudos para avaliar os benefícios de diferentes formulações simbióticas e seu impacto clínico. Já Wu et al. (2024) [10] demonstrou que não houve diferenças significativas em relação ao placebo nos sintomas gerais, dor abdominal, distensão abdominal e qualidade de vida.

Pode-se inferir que os simbióticos são considerados uma opção de tratamento dos sintomas especialmente para idosos com SII-D e SII-C. Embora alguns estudos não tenham observado benefícios dos simbióticos – o que pode depender de variáveis individuais, dosagem e composição do simbiótico utilizado, eles podem trazer vantagens para adultos com SII-D devido às evidências de melhora significativa nos sintomas para essa classificação.

Limitações e pontos fortes

Este estudo apresentou algumas limitações. A restrição da busca no PubMed/MEDLINE limitou o número de estudos incluídos, incluindo estudos desenvolvidos na América Latina. Essa restrição ocorreu por uma questão de logística e viabilidade de tempo e recursos. Detectamos escassez de estudos de intervenção isolada de prebióticos. Entretanto, como ponto forte, esta revisão trouxe evidências atualizadas sobre o efeito e a aplicação de probióticos, prebióticos e simbióticos no tratamento adjuvante em diferentes classificações de SII.

Conclusão

Os probióticos promovem melhoria dos sintomas (dor abdominal e ansiedade) e função intestinal (evacuação e consistência das fezes) de indivíduos SII-D. Para SII-C, a cepa Saccharomyces cerevisiae é efetiva no manejo da dor e distensão abdominais. Os simbióticos são considerados uma opção de tratamento dos sintomas da SII, especialmente para idosos SII-D e SII-C e adultos SII-D. As evidências acerca do efeito do uso de prebióticos na SII são inconclusivas, considerando as estratégias de busca de artigos adotadas. Entretanto, essa intervenção pode promover melhorias na consistência fecal e sintomas de dor, a depender da sensibilidade do paciente e do seu hábito intestinal predominante.

Conflitos de interesse

Os autores declaram não haver conflitos de interesse de qualquer natureza.

Fontes de financiamento

Financiamento próprio.

Contribuição dos autores

Concepção e desenho da pesquisa: Lais LL, Grilo EC; Obtenção de dados: Cavalcanti BF, Análise e interpretação dos dados: Cavalcanti BF; Redação do manuscrito: Cavalcanti BF; Revisão crítica do manuscrito quanto ao conteúdo intelectual importante: Lais LL, Grilo EC.

Referências

1. Huang KY, Wang FY, Lv M, Ma XX, Tang XD, Lv L. Irritable bowel syndrome: Epidemiology, overlap disorders, pathophysiology and treatment. World J Gastroenterol 2023;29:4120–35. https://doi.org/10.3748/wjg.v29.i26.4120.

2. Skrzydło-Radomańska B, Prozorow-Król B, Cichoż-Lach H, Majsiak E, Bierła JB, Kanarek E, et al. The effectiveness and safety of multi-strain probiotic preparation in patients with diarrhea-predominant irritable bowel syndrome: A randomized controlled study. Nutrients 2021;13:1–16. https://doi.org/10.3390/nu13030756.

3. Bai T, Xu Z, Xia P, Feng Y, Liu B, Liu H, et al. The Short-Term Efficacy of Bifidobacterium Quadruple Viable Tablet in Patients With Diarrhea-Predominant Irritable Bowel Syndrome: Potentially Mediated by Metabolism Rather Than Diversity Regulation. Am J Gastroenterol 2023; 118 (7):1256-67. https://doi.org/10.14309/ajg.0000000000002147.

4. Zhao XS, Shi LJ, Ning BL, Zhao ZM, Li XX, Zhu MH, et al. Efficacy of diet restriction with or without probiotic for treatment of patients with IBS-D: Phase I−II clinical trial. Immun Inflamm Dis 2023;11(5):e857. https://doi.org/10.1002/iid3.857.

5. Oh JH, Jang YS, Kang D, Kim HS, Kim EJ, Park SY, et al. Efficacy of a Synbiotic Containing Lactobacillus paracasei DKGF1 and Opuntia humifusa in Elderly Patients with Irritable Bowel Syndrome: A Randomized, Double-Blind, Placebo-Controlled Trial. Gut Liver 2023;17:100–7. https://doi.org/10.5009/gnl210478.

6. Ankersen DV, Weimers P, Bennedsen M, Haaber AB. Long-Term Effects of a Web-Based Low-FODMAP Diet Versus Probiotic Treatment for Irritable Bowel Syndrome, Including Shotgun Analyses of Microbiota: Randomized, Double-Crossover Clinical Trial. J Med Internet Res 2021; 23(12):e30291.

7. Mack I, Schwille-Kiuntke J, Mazurak N, Niesler B, Zimmermann K, Mönnikes H, et al. A Nonviable Probiotic in Irritable Bowel Syndrome: A Randomized, Double-Blind, Placebo-Controlled, Multicenter Study. Clin Gastroenterol Hepatol 2022;20:1039-1047.e9. https://doi.org/10.1016/j.cgh.2021.06.028.

8. Mourey F, Decherf A, Jeanne JF, Legrain-Raspaud S, Clément-Ziza M, Grisoni ML, et al. Saccharomyces cerevisiae I-3856 in irritable bowel syndrome with predominant constipation. World J Gastroenterol 2022;28:2509–22. https://doi.org/10.3748/wjg.v28.i22.2509.

9. Guo Q, Lin H, Chen P, Tan S, Wen Z, Lin L, et al. Dynamic changes of intestinal flora in patients with irritable bowel syndrome combined with anxiety and depression after oral administration of enterobacteria capsules. Bioengineered 2021;12:11885–97. https://doi.org/10.1080/21655979.2021.1999374.

10. Wu Y, Li Y, Zheng Q, Lanjuan L. Microbiota Transplantation in Irritable Bowel Syndrome : A Systematic Review and Network Meta-Analysis. Nutrients 2024;16(13):2114.

11. National Institute for Health and Care Excellence (NICE). Irritable bowel syndrome in adults: diagnosis and management. Clinical guideline [CG61] 2018:1–22.

12. Page MJ, McKenzie JE, Bossuyt PM, Boutron I, Hoffmann TC, Mulrow CD, et al. The PRISMA 2020 statement: An updated guideline for reporting systematic reviews. Syst Rev 2021;10(1):89. https://doi.org/10.1016/j.ijsu.2021.105906.

13. Srivastava S, Basak U, Naghibi M, Vijayakumar V, Parihar R, Patel J, et al. A randomized double-blind, placebo-controlled trial to evaluate the safety and efficacy of live Bifidobacterium longum CECT 7347 (ES1) and heat-treated Bifidobacterium longum CECT 7347 (HT-ES1) in participants with diarrhea-predominant irritable bowel syn. Gut Microbes 2024;16:1–15. https://doi.org/10.1080/19490976.2024.2338322.

14. Rau S, Gregg A, Yaceczko S, Limketkai B. Prebiotics and Probiotics for Gastrointestinal Disorders. Nutrients 2024;16(6):778. https://doi.org/10.3390/nu16060778.

15. Oh CK, Park JK, Kim YJ, Kim JB. Efficacy and safety of human gut-derived multi-strain probiotics in patients with irritable bowel syndrome: A prospective open-label observation study. Medicine (Baltimore) 2023;102:E34899. https://doi.org/10.1097/MD.0000000000034899.

16. Cayzeele-Decherf A, Pélerin F, Leuillet S, Douillard B, Housez B, Cazaubiel M, et al. Saccharomyces cerevisiae CNCM I-3856 in irritable bowel syndrome: An individual subject meta-analysis. World J Gastroenterol 2017;23:336–44. https://doi.org/10.3748/wjg.v23.i2.336.

17. Siyal M, Abbas Z, Amir MR, Qadeer MA. Saccharomyces cerevisiae for abdominal pain and discomfort in irritable bowel syndrome patients. Pak J Med Sci 2024;40:492–8. https://doi.org/10.12669/pjms.40.3.8349.

18. Skrzydło-Radomańska B, Prozorow-Król B, Cichoż-Lach H, Majsiak E, Bierła JB, Kosikowski W, et al. The effectiveness of synbiotic preparation containing lactobacillus and bifidobacterium probiotic strains and short chain fructooligosaccharides in patients with diarrhea predominant irritable bowel syndrome—a randomized double-blind, placebo-controlled s. Nutrients 2020;12:1–19. https://doi.org/10.3390/nu12071999.