Nutr Bras. 2024;23(2):813-823
doi:10.62827/nb.v23i2.3017

ARTIGO ORIGINAL

Perimetria da cintura e abdômen: pontos distintos para a estratificação do risco cardiometabólico

Waist and abdominal perimetry: distinct points for cardiometabolic risk stratification

Tiago de Oliveira Chaves1, Clóvis de Albuquerque Maurício1, Michel Silva Reis1

1Grupo de Pesquisa em Avaliação e Reabilitação Cardiorrespiratória, Faculdade de Fisioterapia, Universidade Federal do Rio de Janeiro (UFRJ), Rio de Janeiro, Brasil

Recebido em: 03 de junho de 2024; Aceito em: 15 de julho de 2024.

Correspondência: Tiago de Oliveira Chaves, tiagochavesrj@gmail.com

Como citar

Chaves TO, Maurício CA, Reis MS. Perimetria da cintura e abdômen: pontos distintos para a estratificação do risco cardiometabólico. Nutr Bras. 2024;23(2):813-823. doi:10.62827/nb.v23i2.3017

Resumo

Introdução: A circunferência da cintura é um parâmetro importante para a avaliação do risco cardiometabólico. Objetivo: Mensurar e confrontar duas referências anatômicas distintas com o intuito de checar se essas duas variáveis podem ser aplicadas com o mesmo objetivo na determinação do risco cardiometabólico. Métodos: 80 homens e 77 mulheres (18-55 anos), aparentemente saudáveis, foram selecionados. Foram mensurados os pontos antropométricos: circunferência da cintura (entre a última costela e a borda da crista ilíaca) e circunferência abdominal (em cima da cicatriz umbilical). Posteriormente, foram submetidos ao teste de normalidade (Kolmogorov-Smirnov test) e homogeneidade (Levene test). Em seguida, foi aplicado o teste t de Student não pareado e os resultados apresentados em média ± desvio-padrão. O nível de significância adotado foi (p < 0,05) e as análises foram realizadas com o software SigmaPlot for Windows versão 11.0, copyright © 2008 Systat Software, Inc. Além disso, foi calculada a diferença e delta percentuais dos respectivos grupos. Resultados: O grupo do sexo feminino apresentou diferença significativa entre os pontos antropométricos (p = 0,001), diferença percentual de 46,8% e delta percentual de 53,2%. Os homens não apresentaram diferença estatística, diferença percentual de 1,25% e delta percentual de 1,25%. Conclusão: Observou-se que, nas mulheres, as distintas medidas antropométricas possuem diferença não apenas no ponto anatômico, mas também em sua perimetria. Além do mais, grande parte da amostra avaliada do sexo feminino estaria classificada de maneira equivocada, caso fosse adotado como ponto de corte a CAB, ao invés da CC, conforme demonstrado nos cálculos das diferenças percentuais e também no delta percentual.

Palavras-chave: Síndrome metabólica; obesidade; exercício físico; estilo de vida; atenção primária à saúde.

Abstract

Introduction: Waist circumference is an important parameter for assessing cardiometabolic risk. Objective: Measure and compare two different anatomical references in order to check whether these two variables can be applied with the same objective in the determination of cardiometabolic risk. Methods: 80 apparently healthy men and 77 women (18-55 years) were selected. Anthropometric points were measured waist circumference (between the last rib and the edge of the iliac crest) and abdominal circumference (above the umbilical scar). Subsequently, they were submitted to the normality test (Kolmogorov-Smirnov test) and homogeneity test (Levene test). Then, the unpaired t-student test was applied and the results presented as mean ± standard deviation. The significance level adopted was (p<0.05) and analyzes were performed using SigmaPlot for Windows version 11.0, copyright© 2008 Systat Software, Inc. In addition, the difference and delta percentages of the respective groups were calculated. Results: The female group showed a significant difference between the anthropometric points (p=0.001), a percentage difference of 46.8% and a percentage delta of 53.2%. Men showed no statistical difference, a percentage difference of 1.25% and a percentage delta of 1.25%. Conclusion: It was observed that, in women, the different anthropometric measurements differ not only in the anatomical point, but also in their perimetry. Furthermore, large part of the sample evaluated would be classified incorrectly if the CAB was adopted as the cutoff point, instead of the CC, as demonstrated in the calculations of the percentage differences and also in the percentage delta.

Keywords: Metabolic syndrome; obesity; exercise; life style; primary health care.

Introdução

Um dos critérios para a determinação da síndrome metabólica (SM) é a circunferência da cintura (CC) [1]. Todavia, algumas diretrizes preconizam como parâmetro a circunferência abdominal (CAB) [2,3]. Desta forma, o processo de mensuração impreciso, assim como a avaliação e análise, poderiam refletir um problema no momento da estratificação do risco. Sendo assim, os profissionais que trabalham com avaliação física, sejam eles nutricionistas, educadores físicos, médicos, ou qualquer profissional de saúde, poderiam estar sujeitos a erros devido à falta de acurácia e precisão metodológica no momento da mensuração desta variável antropométrica, associada ao risco cardiometabólico. Em um estudo anterior [4], foi demonstrado que a CC e a CAB são medidas antropométricas distintas e caso a medida para determinação do risco seja feita de maneira equivocada, poderíamos estar superestimando o processo de mensuração, principalmente em mulheres e, consequentemente, estaríamos disponibilizando um dos critérios para determinação da SM de maneira imprecisa.

Segundo estudos internacionais [5,6], a adequada medida com o intuito de quantificar e qualificar o risco cardiometabólico é a CC, localizada entre a última costela e a borda da crista ilíaca, em seu ponto médio [4], e não a CAB, conforme tem sido preconizado [2,3]. Na prática clínica, esse ponto anatômico no homem seria aproximadamente de um dedo acima da cicatriz umbilical, ao passo que nas mulheres estaria localizado aproxidamente três dedos acima da cicatriz umbilical, conforme destacado em um estudo anterior [4]. Vale ressaltar que diversos trabalhos recentes [7-9] vêm destacando como ponto de corte e associação com as doenças cardiometabólicas a CC e não a CAB, que é um distinto ponto de mensuração antropométrica, conforme a descrição em livros de avaliação física [10,11].

Neste contexto e em estudos anteriores [12,13] que utilizaram a CC como determinação do risco cardiometabólico, há necessidade de confrontar essas duas referências anatômicas com o intuito de checar se essas duas variáveis poderiam ser aplicadas com o mesmo objetivo. Diante disso, comparou-se os processos de mensuração da CC e da CAB em homens e mulheres.

Métodos

Foram selecionados 80 homens e 77 mulheres, com idade entre 18 e 55 anos. Todos os dados foram mensurados em uma amostra composta por indivíduos aparentemente saudáveis e os critérios de inclusão seguiram os seguintes parâmetros: i) indivíduos que não tivessem passado por alguma intervenção cirúrgica que inviabilizasse o processo de mensuração antropométrica e ii) indivíduos que apresentassem padrão eutrófico para classificação do índice de massa corporal (IMC). Ao passo que os critérios de exclusão adotados seguiram os seguintes critérios: i) indivíduos que apresentassem IMC ≥ a 30 kg/m2 e ii) indivíduos que não se disponibilizaram a participar da pesquisa por algum motivo particular. O estudo foi aprovado pelo Comitê de Ética do Hospital Universitário Clementino Fraga Filho conforme resolução número 466/12 de pesquisa com seres humanos (CAAE: 47813415.8.0000.5257). Além disso, é importante ressaltar que todos os participantes leram e assinaram o termo de consentimento livre esclarecido (TCLE) antes de serem incluídos na pesquisa e obtidas as informações.

Foram obtidas as variáveis antropométricas de CC e CAB e variáveis do perfil corporal tais como; estatura, massa corporal e IMC=kg/m2. A coleta de dados antropométricos se baseou nos critérios adotados pela International Society for the Advancement of Kinanthropometry (ISAK) [14]. Diante disso, a mensuração da CC foi determinada a partir do ponto médio entre a última costela e a borda da crista ilíaca e a determinação da CAB foi realizada em cima da cicatriz umbilical, conforme descrito em estudo prévio [4]. Vale ressaltar que as medidas foram realizadas três vezes e o resultado obtido foi proveniente da média dessas variáveis antropométricas. As medidas de massa corporal e estatura foram obtidas usando, respectivamente, uma balança digital G. tech BALGL 10 com visor em LCD e um estadiômetro de bolso Cescorf. As resoluções das medidas antropométricas foram de 0,1 kg para massa corporal e de 0,1 cm para a estatura.

Posteriormente, os dados foram submetidos ao teste de normalidade (Kolmogorov-Smirnov test) e teste de homogeneidade (Levene test). As variáveis submetidas apresentaram comportamento paramétrico. Desta forma, foi aplicado o t-student test não-pareado e os resultados foram apresentados em média ± desvio padrão. O nível de significância adotado foi de p<0,05 e as análises foram realizadas com o software SigmaPlot for Windows versão 11.0, copyright© 2008 Systat Software, Inc. Além disso, foi calculado o percentual entre as diferenças antropométricas da CC e da CAB em ambos os grupos e, por fim, foi realizado o cálculo do delta percentual entre os distintos pontos anatômicos.

Resultados

A Tabela 1 mostra a seguir as principais características demográficas e antropométricas da amostra. Os dados de IMC apresentados para ambos os sexos indicavam que a amostra avaliada possuía padrão eutrófico. Apesar de não terem sido coletadas as dobras cutâneas e calculado o percentual de gordura dos indivíduos, aparentemente o sobrepeso poderia ser explicado pelo predomínio de massa muscular, pois os indivíduos eram alunos de graduação de educação física e aparentemente apresentarem perfil corporal ativo.

Tabela 1 - Principais características demográficas e antropométricas da amostra

Total

Masculino

Feminino

n

157

80

77

Idade (anos)

29±7,8

28,5±7,2

29,5±8,4

Massa corporal (kg)

69,2,3±12,1

75,1±11

62,6±8,9

Estatura (m)

IMC (kg/m2)

CC

CAB

1,70±0,1

24,3±2,9

79,1±8,3

83,3±8,2

1,75±0,07

24,8±2,6

83,2±8,2

84,4±8,4

1,62±0,07

23,8±2,9

75,3±6,2

80,2±8,6

Dados expressos em média ± DP (variáveis paramétricas). *IMC – índice de massa corporal. Circunferência da cintura – CC, Circunferência abdominal – CAB.

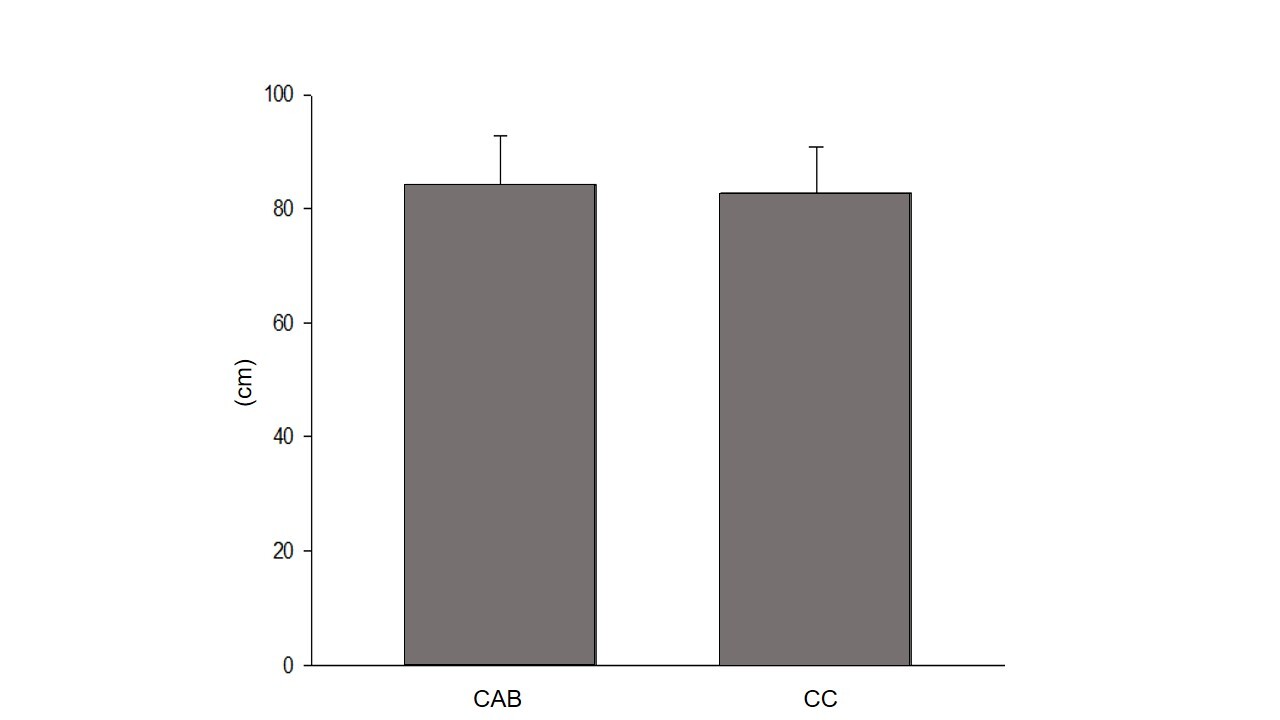
A Figura 1 mostra a diferença entre as duas variáveis antropométricas, CC e CAB no sexo feminino. Desta forma, fica evidente que um dos critérios para determinação da SM deve ser mensurado na CC e não na CAB, conforme vêm sendo descrito [2,3]. Além disso, outro dado relevante foi a diferença percentual 46,8%, (36) e delta percentual de 53,2 (41) ou seja, mais da metade da amostra feminina, estaria sendo enquadrada em uma classificação de risco incorreto para a determinação e/ou associação de doenças cardiometabólicas quando foram confrontados os dois pontos anatômicos e verificado os pontos de corte para a estratificação do risco preconizado [5].

Fig 1_diferenca-estatistica-cc-e-cab-feminino_300 DPI

Figura 1 - Dados expressos em média ± DP das variáveis antropométricas circunferência do abdômen (CAB) e circunferência da cintura (CC)

A Figura 2 não mostrou diferença significativa entre as duas variáveis antropométricas, CC e CAB no sexo masculino, apresentando um resultado de (P = 0,232). Diante disso, este critério para a determinação da SM poderia ser realizado em qualquer um dos pontos anatômicos, apesar de serem realizadas em locais distintos. Vale destacar também, que ao serem confrontados os pontos anatômicos e, posteriormente, verificar a estratificação do risco cardiometabólico, a divergência pode ser considerada irrelevante.

Fig 2_diferenca-estatistica-cc-e-cab-masculino_300 DPI

Figura 2 - Dados expressos em média ± DP das variáveis antropométricas circunferência do abdômen (CAB) e circunferência da cintura (CC)

Logo abaixo, nas Figuras 3 e 4 estão disponíveis os cálculos das diferenças percentuais entre as medidas de CC e CAB de ambos os sexos, assim como, o delta percentual, que objetivou verificar a porcentagem de erro em que os distintos pontos anatômicos poderiam apresentar.

Fig 3_diferenca-percental-cc-e-cab-feminino_300 DPI

Figura 3 - Dados da diferença percentual e delta percentual das variáveis antropométricas circunferência do abdômen (CAB) e circunferência da cintura (CC) do sexo feminino

Fig 4_diferenca-percental-cc-e-cab-masculino_300 DPI

Figura 4 - Dados da diferença percentual e delta percentual das variáveis antropométricas circunferência do abdômen (CAB) e circunferência da cintura (CC) do sexo masculino

Discussão

O principal achado do estudo foi a diferença encontrada entre os dois pontos anatômicos CC e CAB e também ter verificado que a classificação e estratificação do risco cardiometabólico estavam equivocados em quase metade da amostra no sexo feminino. Desta forma, é fundamental atender parâmetros metodológicos e específicos objetivando mensurar adequadamente ambas as variáveis antropométricas. Principalmente, a CC por ser uma variável importante e um dos critérios de determinação e/ou diagnóstico médico para a SM segundo as diretrizes [5-7]. Além disso, ao serem observados e comparados os dois pontos anatômicos nos indivíduos do sexo feminino, muitas deveriam ser enquadradas na classificação qualitativa de não presença aparente de risco cardiometabólico, ou na classificação de fator de risco médio, porém, ao utilizar como ponto de corte a CAB, uma parcela percentual importante do grupo do sexo feminino seria classificada e estratificada incorretamente como fator de risco ou risco muito elevado segundo os parâmetros de classificação [5].

Algumas diretrizes brasileiras [2,3], vêm adotando como ponto de corte para o risco cardiovascular e metabólico a CAB e não a CC. Porém, essas duas variáveis antropométricas são pontos distintos segundo a literatura [10,11-18]. Ademais, os valores de referência adotados em diretrizes internacionais [5,19] para o risco cardiometabólico e, consequentemente, critério para diagnóstico para a determinação da SM são a CC e não a CAB, conforme demonstrado em estudos anteriores [20-26].

Estudo anterior de Wang e cols [27] avaliaram e compararam distintos pontos antropométricos, dos quais foram divididas da seguinte forma: (1) imediatamente abaixo da última costela; (2) no menor ponto de circunferência; (3) no ponto médio entre a última costela e a crista ilíaca; e (4) imediatamente acima da crista ilíaca. Após a comparação das diversas medidas antropométricas, foi encontrada diferença significativa apenas nas mulheres, de acordo com a seguinte ordem: medida 2 <1 <3 <4. De forma similar, o grupo representado pelo sexo feminino no presente estudo, também apresentou diferença significativa ao serem confrontadas e comparadas as medidas antropométricas da CC e da CAB. Além do que, foram também apresentados dados percentuais inovadores que demonstram que a classificação do risco cardiometabólico estaria equivocado no critério de classificação qualitativa no sexo feminino em quase 50% da amostra, caso fossem adotados como escolha o ponto anatômico CAB. Neste contexto, sugere-se a importância da padronização do local da medida, para os indivíduos do sexo feminino, principalmente para uso diagnóstico e determinação da SM.

A gordura visceral tem sido fortemente associada a marcadores de risco para a SM em estudos anteriores [28,29], assim como em estudos recentes [30,31]. No entanto, estudos observaram uma variedade de descrições diferentes em relação ao local anatômico adotado para essas medidas antropométricas [4,27-32]. Neste sentido, vale ressaltar que ainda não foi estabelecido um consenso sobre a melhor localização anatômica a ser utilizada para o diagnóstico e/ou determinação da SM e, consequentemente, podem estar sendo criadas discrepâncias no modo de realização da medida podendo levar a resultados distintos, assim como no presente estudo.

Diante desse contexto, e conforme supracitado, dependendo do ponto anatômico adotado, estaremos superestimando o risco cardiometabólico e realizando a triagem para futuras pesquisas científicas de forma equivocada. Sendo assim, se faz necessário um consenso na padronização da nomenclatura, ou então criar valores de referência para a CAB, pois o ponto anatômico é distinto e a diferença nos indivíduos do sexo feminino, em relação à CC é bastante relevante. Ademais, é importante destacar os aspectos positivos e também as limitações do presente estudo. Em relação aos pontos positivos, ressalta-se a experiência do avaliador que possui bastante prática em avaliação física. Desta forma, todas as medidas foram cuidadosamente coletadas respeitando todos os parâmetros preconizados pela ISAK [14]. Além disso, vale ressaltar que todas as medidas foram realizadas pelo mesmo indivíduo. Em contrapartida, as limitações que merecem destaque seriam, a escolha da amostra que aparentemente era composta por indivíduos saudáveis e a não inclusão de indivíduos com características clínicas e morfológicas diferentes dos indivíduos do presente estudo.

Conclusão

Observou-se que nas mulheres as medidas antropométricas de CC e CAB possuem diferença não apenas no ponto anatômico, mas também em sua perimetria. Além do mais, grande parte da amostra avaliada do sexo feminino estaria classificada de maneira equivocada, caso fosse adotado como ponto de corte a CAB, ao invés da CC, conforme demonstrado nos cálculos das diferenças percentuais e também no delta percentual. Novas pesquisas são necessárias com o intuito de verificar se o mesmo comportamento obtido na população estudada que era aparentemente saudável, acontecerá também em pacientes com outros fatores de risco e isso inclui os indivíduos com SM.

Conflito de interesse

Declaramos não haver conflito de interesse.

Fonte de Financiamentos

Financiamento próprio.

Contribuição dos autores

Concepção e desenho do estudo: Chaves TO, Mauricio CA, Reis MS; Coleta de dados: Chaves TO, Mauricio CA, Reis MS; Análise e interpretação dos dados: Chaves TO, Mauricio CA, Reis MS; Análise estatística e redação do manuscrito: Chaves TO, Mauricio CA, Reis MS; Revisão crítica do manuscrito quanto ao conteúdo intelectual importante: Chaves TO, Mauricio CA, Reis MS.

Referências

1. Anchuelo AC, Martínez-Larrad MT, Serrano-García I, Pérez CF, Serrano-Ríos M. Body fat anthropometric indexes: Which of those identify better high cardiovascular risk subjects? A comparative study in Spanish population. PLoS One. 2019;14(5). doi:10.1371/journal.pone.0216877.

2. Malachias MB, Souza WB, Plavnik FL, Rodrigues CS, Brandão AA, Neves MT, et al. 7ª diretriz Brasileiras de Hipertensão Arterial. Arq Bras Cardiol. 2016;107(3 Suppl 3):1-103.

3. Associação Brasileira para o Estudo da Obesidade e da Síndrome Metabólica. Diretrizes brasileiras de obesidade 2016/ABESO. 4ª ed. São Paulo: ABESO; 2016.

4. Chaves TO, Reis MS. Abdominal Circumference or Waist Circumference? Int J Cardiovasc Sci. 2019;32(3):290-2. doi:10.5935/2359-4802.20180080.

5. Zerga AA, Bezabih AM, Adhanu AK, Tadesse SE. Obesity Indices for Identifying Metabolic Syndrome Among Type Two Diabetes Patients Attending Their Follow-Up in Dessie Referral Hospital, North East Ethiopia. Diabetes Metab Syndr Obes. 2020;13:1297-304. doi:10.2147/DMSO.S242792.

6. Kotseva K, De Bacquer D, De Backer G, Rydén L, Jennings C, Gyberg V, et al. Lifestyle and risk factor management in people at high risk of cardiovascular disease. A report from the European Society of Cardiology European Action on Secondary and Primary Prevention by Intervention to Reduce Events (EUROASPIRE) IV cross-sectional survey in 14 European regions. Eur J Prev Cardiol. 2016;23(18):2007-18. doi:10.21037/cdt.2017.04.06.

7. Chang M, Lee HY, Seo SM, Koh YS, Park HJ, Kim PJ, et al. The impact of educational attainment on cardiorespiratory fitness and metabolic syndrome in Korean adults. Medicine (Baltimore). 2020;99(17). doi:10.1097/MD.0000000000019865.

8. Weiderpass E, Botteri E, Longenecker JC, Alkandari A, Al-Wotayan R, Duwairi QA, et al. The Prevalence of Overweight and Obesity in an Adult Kuwaiti Population in 2014. Front Endocrinol (Lausanne). 2019;10:449. doi:10.3389/fendo.2019.00449.

9. Molina-Luque R, Romero-Saldaña M, Álvarez-Fernández C, Rodríguez-Guerrero E, Hernández-Reyes A, Molina-Recio G. Waist to Height Ratio and Metabolic Syndrome as lung dysfunction predictors. Sci Rep. 2020;10(1):7212. doi:10.1038/s41598-020-64130-0.

10. Petroski EL. Antropometria: técnicas e padronizações. Santa Maria: Pallotti; 2003.

11. Rossi L. Nutrição em Academias do Fitness ao Wellness. São Paulo: Roca; 2013.

12. Mbanya VN, Kengne AP, Mbanya JC, Akhtar H. Body mass index, waist circumference, waist-hip-ratio and waist-height-ratio: which is the better discriminator of prevalent screen-detected diabetes in Cameroonian population? Diabetes Res Clin Pract. 2015;108(1):22-30. doi:10.1016/j.diabres.2015.01.032.

13. Li R, Shi L, Jia J, Li Y, Yang Q, Ruan Y, et al. Differentiating the associations of waist circumference and body mass index with cardiovascular disease risk in a Chinese population. Asia Pac J Public Health. 2015;27(2):457-67. doi:10.1177/1010539512465306.

14. Stewart A, Marfell-Jones M, Olds T, Ridder H. International standards for anthropometric assessment. Lower Hutt, New Zealand: International Society for the Advancement of Kinanthropometry (ISAK); 2011.

15. Elitok GK, Duru NS, Elevli M, Sağlam ZA, Karşıdağ K. Prevalence of Metabolic Syndrome in Middle School Children and Evaluation of Components of Metabolic Syndrome. Sisli Etfal Hastan Tip Bul. 2019;53(4):403-8. doi:10.14744/SEMB.2018.50479.

16. Özcan RK, Özmen SG. The Association Between Migraine, Metabolic Syndrome, Insulin Resistance, and Obesity in Women: A Case-Control Study. Sisli Etfal Hastan Tip Bul. 2019. doi:10.14744/SEMB.2018.09582.

17. Ji C, Xia Y, Tong S, Wu Q, Zhao Y. Association of handgrip strength with the prevalence of metabolic syndrome in US adults: the national health and nutrition examination survey. Aging (Albany NY). 2020;12. doi:10.18632/aging.103097.

18. Tremblay A, Bélanger MP, Dhaliwal R, Brauer P, Royall D, Mutch DM, et al. Impact of a multidisciplinary intervention on physical fitness, physical activity habits and the association between aerobic fitness and components of metabolic syndrome in adults diagnosed with metabolic syndrome. Arch Public Health. 2020;78:22. doi:10.1186/s13690-020-0399-0.

19. Zheng Q, Lin W, Liu C, Zhou Y, Chen T, Zhang L, et al. Prevalence and epidemiological determinants of metabolically obese but normal-weight in Chinese population. BMC Public Health. 2020;20(1):487. doi:10.1186/s12889-020-08630-8.

20. Ng NY, Jiang G, Cheung LP, Zhang Y, Tam CH, Luk AO, et al. Progression of glucose intolerance and cardiometabolic risk factors over a decade in Chinese women with polycystic ovary syndrome: A case-control study. PLoS Med. 2019;16(10). doi:10.1371/journal.pmed.1002953.

21. Suliga E, Ciesla E, Głuszek-Osuch M, Rogula T, Głuszek S, Kozieł D. The Usefulness of Anthropometric Indices to Identify the Risk of Metabolic Syndrome. Nutrients. 2019;11(11):2598. doi:10.3390/nu11112598.

22. Malik MS, Qayyum W, Farooq A, Waqas A, Sukhera AB, Khalid MA, et al. Dietary Patterns, Exercise, and the Metabolic Syndrome Among Young People in Urban Pakistan (Lahore). Metab Syndr Relat Disord. 2019;18(1):56-64. doi:10.1089/met.2019.0021.

23. Buchmann N, Spira D, König M, Demuth I, Steinhagen-Thiessen E. Frailty and the Metabolic Syndrome - Results of the Berlin Aging Study II (BASE-II). J Frailty Aging. 2019;8(4):169-75. doi:10.14283/jfa.2019.15.

24. Katsa ME, Ioannidis A, Sachlas A, Dimopoulos I, Chatzipanagiotou S, Gil AP. The roles of triglyceride/high-density lipoprotein cholesterol ratio and uric acid as predisposing factors for metabolic syndrome in healthy children. Ann Pediatr Endocrinol Metab. 2019;24(3):172-9. doi:10.6065/apem.2019.24.3.172.

25. Correa-Burrows P, Blanco E, Gahagan S, Burrows R. Cardiometabolic health in adolescence and its association with educational outcomes. J Epidemiol Community Health. 2019;73(12):1071-7. doi:10.1136/jech-2019-212256.

26. Nasreddine L, Bachir N, Kharroubi S, Chamieh MC, Sibai AM, Hwalla N, et al. Anthropometric Cutoffs for Increased Cardiometabolic Risk Among Lebanese Adults: A Cross-Sectional Study. Metab Syndr Relat Disord. 2019;17(10):486-93. doi:10.1089/met.2019.0033.

27. Wang J, Thornton JC, Bari S, Williamson B, Gallagher D, Heymsfield SB, et al. Comparisons of waist circumferences measured at 4 sites. Am J Clin Nutr. 2003;77(2):379-84. doi:10.1093/ajcn/77.2.379.

28. Saklayen MG. The Global Epidemic of the Metabolic Syndrome. Curr Hypertens Rep. 2018;20(2):12. doi:10.1007/s11906-018-0812-z.

29. Yamagishi K, Iso H. The criteria for metabolic syndrome and the national health screening and education system in Japan. Epidemiol Health. 2017;39. doi:10.4178/epih.e2017003.

30. Perona SJ, Rio-Valle JS, Ramírez-Vélez R, Correa-Rodríguez M, Fernández-Aparicio A, González-Jiménez E. Waist Circumference and Abdominal Volume Index Are the Strongest Anthropometric Discriminators of Metabolic Syndrome in Spanish Adolescents. Eur J Clin Invest. 2019;49(3). doi:10.1111/eci.13060.

31. Sareban Hassanabadi M, Mirhosseini SJ, Mirzaei M, Namayandeh SM, Beiki O, Gannar F, et al. The Most Important Predictors of Metabolic Syndrome Persistence after 10-year Follow-Up: YHHP Study. Int J Prev Med. 2020;11:33. doi:10.4103/ijpvm.IJPVM_215_18.

32. Pimentel GD, Portero-McLellan KC, Maestá N, Corrente JE. Accuracy of sagittal abdominal diameter as predictor of abdominal fat among Brazilian adults: a comparation with waist circumference. Nutr Hosp. 2010;25:656-61. doi:10.3305/nh.2010.25.4.4507.